काठमाण्डाैं । एमसिसिकाे वारेमा चर्काे स्वरले विराेध गर्ने नेताहरूकाे सुचीमा एक नम्वरमा नाम भीम रावलकाे देखिन्छ।स्वयम एमाले एमसिसिकाे विराेधमा देखिन्न तर उनी भने यसकाे चर्काे विराेध गरिरहेका छन।तर उनै नेता मन्त्री भएकाे बेलामा भने गम्भीर गल्ती भएकाे प्रमाणले देखाएकाे छ। २०७३ सालमा जब उनी उपप्रधानमन्त्री भएका थिए तब एममसिसि ग्रान्ट सम्झाैता भएकाे थियाे ।यहि समयमा अफिस अफ मिलिनियम च्यालेन्ज नेपाल गठन भएर काम गर्न थालेकाे थियाे। यहि सम्झाैताले गठन गरेकाे एमसिए नेपालले नै अहिले नेपालमा एमसिसिकाे वारेमा काम गरिरहेकाे छ।उतिवेला मन्त्रीपरिषदमा रहेका रावलले यसवारेमा चुइक्क वाेलेनन तर अहिले उनी यसलाइ राष्ट्रवादी मुद्धा वनाइरहेका छन।

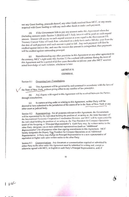
यति मात्र नभइ साेही सम्झाैतामा एमसिसिमा न्युयाेर्क कानुन लागु हुनेछ भनेर समेत उल्लेख छ।तर त्यतिवेला रावल एक शब्द पनि वेालेनन।






