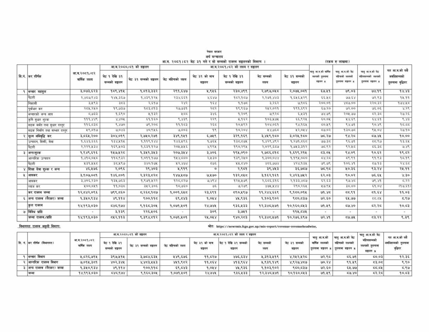
काठमाडौं ।चालू आर्थिक वर्षको ११ महिनामा सरकारको राजस्व संकलन १० खर्ब २७ अर्ब रुपैयाँ पुगेको छ, जुन गत वर्षको सोही अवधिको तुलनामा ८८ अर्ब रुपैयाँले बढी हो।
अर्थ मन्त्रालयका अनुसार २०८२ असार ३१ गतेसम्मको तथ्यांकअनुसार, अघिल्लो वर्ष यस अवधिमा ९ खर्ब ३९ अर्ब रुपैयाँ मात्र संकलन भएको थियो। चालू आर्थिक वर्षको राजस्व संकलन कुल लक्ष्यको ८३.२२ प्रतिशत पुगेको मन्त्रालयले जनाएको छ। जेठ महिनासम्मको लक्ष्य १२ खर्ब ३४ अर्ब रुपैयाँ तोकिएको थियो।
जेठ महिनामात्रै ९४ अर्ब २ करोड रुपैयाँ राजस्व संकलन गरिएको छ, जुन अघिल्लो वर्षको सोही महिनाको ८५ अर्ब ११ करोड रुपैयाँभन्दा उल्लेख्य रूपमा बढी हो।





